Six Hundred Acre Wood SRS Poll Angora Goats

Australia’s Only Organic Certified Mohair Genetics.

SRS_ANGORA_EDITED-11.jpg

Breeding robust, high-performing Angora goats through science, ethical principles, and ecological stewardship.

Our Story

The Scientist Farmer

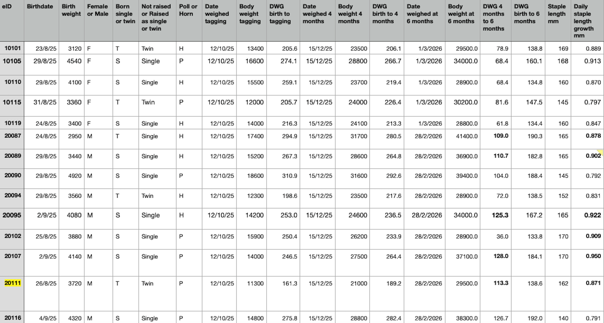
Dr. Gina Wood brings a level of scientific rigour rarely seen in the paddock. She holds a multidisciplinary PhD in Biostatistics, Lipidology, and Exercise Physiology, giving her a unique understanding of data analysis and biological metabolism. Currently finishing a second doctorate focused on a multi-centre clinical trial for complex physiological conditions, Gina applies these same strict research methodologies to her herd. She doesn't just farm; she conducts a continuous, data-driven trial to produce the ultimate low-input Angora Goat. 

"I don’t guess. I measure."

Every animal in the Six Hundred Acre Wood herd is monitored, measured, and evaluated using objective, data-driven methods. We don’t rely on tradition or visual appraisal alone — we treat the herd as a continuous research cohort, improving resilience, productivity, and fibre quality year after year.

Our Values

  • Innovative, Evidence-Based, Eco-Aware

  • Commitment to ecological welfare: animals, humans, and the environment

  • Sustainable and profitable practices

  • Ethics, transparency, and adaptability

We believe that high-quality fibre and ethical farming go hand in hand.Every decision is guided by data, science, and the wellbeing of our animals and land.


Certified Organic (AS6000)

Six Hundred Acre Wood is Australia’s only AS6000 Organic Certified Angora goat and mohair operation.

Our organic certification is more than a label — it’s a stress test for genetics. By eliminating chemical interventions, drenches, and shortcuts, we breed goats that are naturally resilient, productive, and sustainable.

Our Genetics

(SRS® Poll Angora Goats)

What SRS® Means for Goats

Building on Dr. Jim Watts’ pioneering SRS® research, we’ve adapted principles from merino sheep to the biology of Angora goats.

  • Skin morphology differs from sheep; visual appraisal alone is insufficient.

  • Combining measured phenotype and performance data ensures robust, high-quality genetics.

  • Our methodology balances welfare with commercial performance.

    • Soft, pliable skin indicating follicle density

    • Aligned, lustrous fibre with low vegetable matter

    • Polled genetics for safer handling

    • Robust constitution and rapid growth

    • Thrives on browse, not feedlots

The Organic Stress Test

Our goats are tested by nature with reference to the AS6000 Organic and Biodynamic Products Standard.

We remove chemical crutches and prove genetics in the paddock.

  • Never drenched — naturally parasite-resistant

  • No prophylactic antibiotics — health comes from genetics

  • Untouched by hoof, face, or horn trimming

  • Proven resilience in the harsh WA Wheatbelt

The result: hardier, healthier goats that thrive naturally, produce premium mohair, and lower your inputs and labour requirements.

  • Lower input costs and labour requirements = higher return on effort

  • Reduced chemical dependency = higher resilience

  • Genetics suitable for Merino operations seeking diversification

  • Supported by ongoing research, including the Athol project

Why It Matters to Farmers

The Data Difference

We Don’t Guess. We Measure.

This data-driven approach ensures our goats aren’t just beautiful, they are robust, productive, and consistently high-performing.

"Every animal is a dataset."


Transparency in Genetics

  • Buyers receive full lifetime performance data

  • Benchmarking with other cohorts

  • Evidence-backed confidence in genetic performance

Dr. Gina Wood is a multi-disciplinary researcher. She combines deep expertise in biological data with practical organic farming to breed fit-for-purpose SRS® Poll Angora Goats. At Six Hundred Acre Wood, we move beyond visual appraisal to track and analyse performance traits with scientific precision:

  • Micron consistency — monitored using standard deviation (SD) and curvature

  • Fleece weight vs. micron correlation — selecting goats that deliver fine, fast-growing and dense mohair

  • Growth trajectory monitoring — from birth to maturity, ensuring rapid, healthy development

  • Biometric modelling — applied to every animal to guide breeding decisions

Ethical Farming:

The No-Till,

No-Cull Model

Profit Without Slaughter

At Six Hundred Acre Wood, ethical farming and commercial viability go hand in hand. Our wethers are long-term high-quality fibre producers, delivering premium mohair for 8+ years without needing to be culled.

  • Lower input requirements — hardy, resilient animals thrive on natural browse

  • Sustainable and profitable — ideal for smallholders as well as regenerative graziers

  • Extended productive lifespan — maximising return on investment while respecting animal welfare

We prove that profitability doesn’t require sacrifice, it requires smart genetics, careful management, and respect for the animal.

  • We farm with the land, not against it. Every decision is guided by practices that build soil health, support biodiversity, and strengthen the ecosystem. Our approach ensures the farm thrives sustainably, improving the land rather than depleting it, while producing high-quality, organic mohair.

  • Our herd operates under a strict no-cull policy, valuing every animal we raise. By maximising each goat’s lifecycle value, we uphold our commitment to sustainability and ethical farming, proving that profitability and animal welfare can go hand in hand.

Goats for Sale

Bucks

Fully data-backed, polled, high-quality genetics

Does

Proven maternal lines, robust and productive

Wethers

Long-term fibre producers, low-maintenance

Semen

Available upon request

Mohair / Fibre

Our Angora goats are bred to produce Mohair with sought-after commercial characteristics, combining fine fibre with remarkable length and consistency.

Each staple exhibits high alignment and nourishment to maximise lustre and handle, delivering a superior clean yield with minimal processing loss. Whether for large-scale production or artisanal spinning, our mohair satisfies the highest standards and is prized by fibre enthusiasts and commercial brokers alike.

  • Six Hundred Acre Wood SRS Poll Angora Goat Mohair delivers superior commercial performance

  • Fine primary and secondary follicles with great lustre and alignment at all goat ages

  • High clean yield and reduced processing loss

  • Highly valued by fibre artists and international mills and brokers

Awards & Community Involvement

  • Carbon Farming Grant recipient

  • Committee Member — Woolorama Agricultural Society

  • Goat Committee Member — Perth Royal Show

  • Committee Member — Gidgegannup Small Farm Field Day

  • Member — Handweavers, Spinners & Dyers Guild of WA

  • Member — Australian Fibre Collective

  • Ongoing SRS® cohort benchmarking

  • Industry collaboration (Xytovet)

Latest Updates

Resources

Coming Soon

Contact Us

EMAIL: angoragoats@sixhundredacrewood.com

LOCATION: Woottating, WA